Scatter Plots and Regression Lines
- Page ID
- 64233
\( \newcommand{\vecs}[1]{\overset { \scriptstyle \rightharpoonup} {\mathbf{#1}} } \)
\( \newcommand{\vecd}[1]{\overset{-\!-\!\rightharpoonup}{\vphantom{a}\smash {#1}}} \)
\( \newcommand{\dsum}{\displaystyle\sum\limits} \)
\( \newcommand{\dint}{\displaystyle\int\limits} \)
\( \newcommand{\dlim}{\displaystyle\lim\limits} \)
\( \newcommand{\id}{\mathrm{id}}\) \( \newcommand{\Span}{\mathrm{span}}\)
( \newcommand{\kernel}{\mathrm{null}\,}\) \( \newcommand{\range}{\mathrm{range}\,}\)
\( \newcommand{\RealPart}{\mathrm{Re}}\) \( \newcommand{\ImaginaryPart}{\mathrm{Im}}\)
\( \newcommand{\Argument}{\mathrm{Arg}}\) \( \newcommand{\norm}[1]{\| #1 \|}\)
\( \newcommand{\inner}[2]{\langle #1, #2 \rangle}\)
\( \newcommand{\Span}{\mathrm{span}}\)
\( \newcommand{\id}{\mathrm{id}}\)
\( \newcommand{\Span}{\mathrm{span}}\)
\( \newcommand{\kernel}{\mathrm{null}\,}\)
\( \newcommand{\range}{\mathrm{range}\,}\)
\( \newcommand{\RealPart}{\mathrm{Re}}\)
\( \newcommand{\ImaginaryPart}{\mathrm{Im}}\)
\( \newcommand{\Argument}{\mathrm{Arg}}\)
\( \newcommand{\norm}[1]{\| #1 \|}\)
\( \newcommand{\inner}[2]{\langle #1, #2 \rangle}\)
\( \newcommand{\Span}{\mathrm{span}}\) \( \newcommand{\AA}{\unicode[.8,0]{x212B}}\)
\( \newcommand{\vectorA}[1]{\vec{#1}} % arrow\)
\( \newcommand{\vectorAt}[1]{\vec{\text{#1}}} % arrow\)
\( \newcommand{\vectorB}[1]{\overset { \scriptstyle \rightharpoonup} {\mathbf{#1}} } \)
\( \newcommand{\vectorC}[1]{\textbf{#1}} \)
\( \newcommand{\vectorD}[1]{\overrightarrow{#1}} \)
\( \newcommand{\vectorDt}[1]{\overrightarrow{\text{#1}}} \)
\( \newcommand{\vectE}[1]{\overset{-\!-\!\rightharpoonup}{\vphantom{a}\smash{\mathbf {#1}}}} \)
\( \newcommand{\vecs}[1]{\overset { \scriptstyle \rightharpoonup} {\mathbf{#1}} } \)
\(\newcommand{\longvect}{\overrightarrow}\)
\( \newcommand{\vecd}[1]{\overset{-\!-\!\rightharpoonup}{\vphantom{a}\smash {#1}}} \)
\(\newcommand{\avec}{\mathbf a}\) \(\newcommand{\bvec}{\mathbf b}\) \(\newcommand{\cvec}{\mathbf c}\) \(\newcommand{\dvec}{\mathbf d}\) \(\newcommand{\dtil}{\widetilde{\mathbf d}}\) \(\newcommand{\evec}{\mathbf e}\) \(\newcommand{\fvec}{\mathbf f}\) \(\newcommand{\nvec}{\mathbf n}\) \(\newcommand{\pvec}{\mathbf p}\) \(\newcommand{\qvec}{\mathbf q}\) \(\newcommand{\svec}{\mathbf s}\) \(\newcommand{\tvec}{\mathbf t}\) \(\newcommand{\uvec}{\mathbf u}\) \(\newcommand{\vvec}{\mathbf v}\) \(\newcommand{\wvec}{\mathbf w}\) \(\newcommand{\xvec}{\mathbf x}\) \(\newcommand{\yvec}{\mathbf y}\) \(\newcommand{\zvec}{\mathbf z}\) \(\newcommand{\rvec}{\mathbf r}\) \(\newcommand{\mvec}{\mathbf m}\) \(\newcommand{\zerovec}{\mathbf 0}\) \(\newcommand{\onevec}{\mathbf 1}\) \(\newcommand{\real}{\mathbb R}\) \(\newcommand{\twovec}[2]{\left[\begin{array}{r}#1 \\ #2 \end{array}\right]}\) \(\newcommand{\ctwovec}[2]{\left[\begin{array}{c}#1 \\ #2 \end{array}\right]}\) \(\newcommand{\threevec}[3]{\left[\begin{array}{r}#1 \\ #2 \\ #3 \end{array}\right]}\) \(\newcommand{\cthreevec}[3]{\left[\begin{array}{c}#1 \\ #2 \\ #3 \end{array}\right]}\) \(\newcommand{\fourvec}[4]{\left[\begin{array}{r}#1 \\ #2 \\ #3 \\ #4 \end{array}\right]}\) \(\newcommand{\cfourvec}[4]{\left[\begin{array}{c}#1 \\ #2 \\ #3 \\ #4 \end{array}\right]}\) \(\newcommand{\fivevec}[5]{\left[\begin{array}{r}#1 \\ #2 \\ #3 \\ #4 \\ #5 \\ \end{array}\right]}\) \(\newcommand{\cfivevec}[5]{\left[\begin{array}{c}#1 \\ #2 \\ #3 \\ #4 \\ #5 \\ \end{array}\right]}\) \(\newcommand{\mattwo}[4]{\left[\begin{array}{rr}#1 \amp #2 \\ #3 \amp #4 \\ \end{array}\right]}\) \(\newcommand{\laspan}[1]{\text{Span}\{#1\}}\) \(\newcommand{\bcal}{\cal B}\) \(\newcommand{\ccal}{\cal C}\) \(\newcommand{\scal}{\cal S}\) \(\newcommand{\wcal}{\cal W}\) \(\newcommand{\ecal}{\cal E}\) \(\newcommand{\coords}[2]{\left\{#1\right\}_{#2}}\) \(\newcommand{\gray}[1]{\color{gray}{#1}}\) \(\newcommand{\lgray}[1]{\color{lightgray}{#1}}\) \(\newcommand{\rank}{\operatorname{rank}}\) \(\newcommand{\row}{\text{Row}}\) \(\newcommand{\col}{\text{Col}}\) \(\renewcommand{\row}{\text{Row}}\) \(\newcommand{\nul}{\text{Nul}}\) \(\newcommand{\var}{\text{Var}}\) \(\newcommand{\corr}{\text{corr}}\) \(\newcommand{\len}[1]{\left|#1\right|}\) \(\newcommand{\bbar}{\overline{\bvec}}\) \(\newcommand{\bhat}{\widehat{\bvec}}\) \(\newcommand{\bperp}{\bvec^\perp}\) \(\newcommand{\xhat}{\widehat{\xvec}}\) \(\newcommand{\vhat}{\widehat{\vvec}}\) \(\newcommand{\uhat}{\widehat{\uvec}}\) \(\newcommand{\what}{\widehat{\wvec}}\) \(\newcommand{\Sighat}{\widehat{\Sigma}}\) \(\newcommand{\lt}{<}\) \(\newcommand{\gt}{>}\) \(\newcommand{\amp}{&}\) \(\definecolor{fillinmathshade}{gray}{0.9}\)|
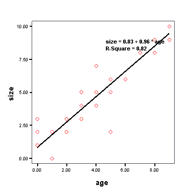
Scatter Diagrams and Regression Lines Scatter Diagrams If data is given in pairs then the scatter diagram of the data is just the points plotted on the xy-plane. The scatter plot is used to visually identify relationships between the first and the second entries of paired data. Example
The scatter plot above represents the age vs. size of a plant. It is clear from the scatter plot that as the plant ages, its size tends to increase. If it seems to be the case that the points follow a linear pattern well, then we say that there is a high linear correlation, while if it seems that the data do not follow a linear pattern, we say that there is no linear correlation. If the data somewhat follow a linear path, then we say that there is a moderate linear correlation.
A bivariate sample consists of pairs of data (x,y). If we plot these pairs on the xy-plane then we have a scatter diagram.
Given a scatter plot, we can draw the line that best fits the data
Recall that to find the equation of a line, we need the slope and the y-intercept. We will write the equation of the line as
Where a is the y-intercept and b is the slope. x is the independent or predictor variable and y is the dependent or response variable. To find a and b we follow the steps:
Interpretations We can interpret a as the value of y when x is zero and we can interpret b as the amount that y increases when x increases by one.
Example Suppose that a study was done to determine the weight loss after taking various amounts of a diet pill in combination with exercise. If the regression line was y = 3 + 2x where x denotes the grams of the pill per day and y represents the weight loss, then we can say that with only the exercise and no pill the average weight loss is 3 pounds. We can also say that if a person takes an additional gram of the pill, then that on average the person should expect to lose an additional 2 pounds. If a person takes 5 grams than that person can expect to lose an average of 13 pounds.
Example Data was collected to compare the length of time x (in months) couples have been in a relationship to the amount of money y that is spent when they go out. The equation of the regression line was found to be y = 70 - 5x The y-intercept tells us that at the beginning of the relationship, the average date costs $70. The slope tells us at the relationship lasts an additional month, the average date costs $5 less than the previous date. We can use the regression line to predict the amount of money that a date costs when the relationship has lasted, for example, six months. We have y(6) = 70 - 5(6) = 40
Estimating the Mean Value of y for a Particular Value of x Suppose that you own a pizza restaurant and are interesting in sending out menus to local residents. You research what your 8 competitors have done to find the relationship between number of mailings and amount of pizzas bought per week. You find that the equation of the regression line is y = 100 + .2x. You calculate Se to be 4, the total mean to be 990, and SSx = 73. Next week you plan an advertising blitz of 1000 mailings. How many pizzas do you expect to sell and what is a 95% confidence interval for this estimate. Solution We will use the main theorem that states that an unbiased estimate for the value of y given a fixed value of x is a + bx The standard deviation is \[ S_{e}\sqrt{ 1 + \frac{1}{n} + \frac{(x - \bar{x})^{2}}{SS_{x}}} \]
Hence we predict that we will sell about 100 + .2(1000) = 300 pizzas. We find the standard deviation
\( 4\sqrt{ 1 + \frac{1}{8} + \frac{(1000 - 990)^{2}}{73}} = 6.31 \)
From the calculator, we have tc = 2.365 so that a 95% confidence interval is 300 \( \pm \) 2.365(6.31) or [283, 317]
Back to the Regression and Nonparametric Home Page
|



.